1. 트리(tree) 란?
트리는 계층적인 자료를 표현하는 데 사용되는 자료구조입니다.

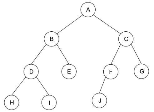
1. Node
tree의 각 요소 ( A, B, C, D.... 와 같은) 를 노드 (Node) 라고 부릅니다.
B를 A의 자식 노드, A를 B의 부모 노드 라고 합니다.
각 Node는 자신의 데이터를 가지고 있으며, 자식 노드의 주소를 가지고 있을 수도 있습니다.
2. Root Node
A와 같이 부모 노드가 없고 최상단에 위치한 Node를 루트 노드( Root Node ) 라고 합니다.
3. Leaf Node
H, I, E, J, G 처럼 자식 노드가 없는 Node를 단말 노드( Leaf Node ) 라고 합니다.
4. size
모든 Node의 갯수를 크기(size) 라고 합니다. (ex. size: 10)
5. depth
Root Node로부터의 거리를 깊이(depth) 라고 합니다. (ex. B, C: 1 / D, E, F, G: 2)
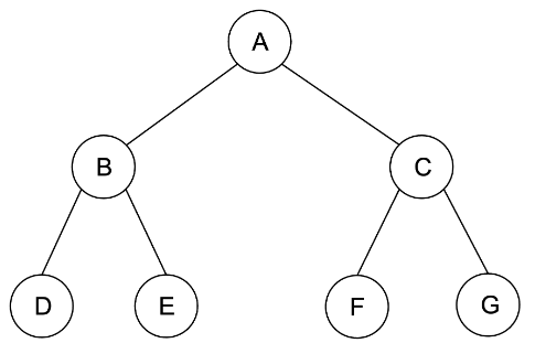
2. 이진 트리(binary tree) 란?
자식 노드의 갯수가 최대 2개로 한정된 tree를 말합니다.

최대 자식 노드 갯수가 2개인것 뿐이므로
위 그림에서 G 노드가 없어도 이진 트리입니다.
3. 이진 탐색 트리(binary search tree) 란?
이진 탐색이 동작할 수 있도록 고안된 자료구조의 일종입니다.
왼쪽 자식 노드가 부모 노드보다 작고
오른쪽 자식 노드가 부모 노드보다 큰 이진 트리를 말합니다.
왼쪽 자식 < 부모 < 오른쪽 자식

위와 같은 조건이 성립하면
원하는 값을 찾고 싶을 때 해당 값을 Root node의 값과 비교하여
왼쪽 혹은 오른쪽으로 탐색 해 나갈 수 있습니다.
(ex. Root node의 값인 10을 기준으로 11은 오른쪽에 있다는 것을 확신하고 검색할 수 있습니다.)
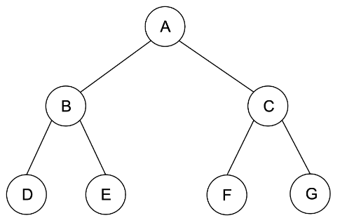
4. 트리 순회(Tree Travercal) 란?
트리 자료구조에 포함된 노드를 특정한 방법으로 한 번씩 방문하는 방법을 의미합니다.
보통 자신을 출력하는 방법과 같이 방문한 노드를 시각적으로 확인 가능합니다.
대표적인 트리 순회 방법은 3가지가 있습니다.

1. In order / 중위 순회 ( Left - Root - Right )
왼쪽 노드부터 출력합니다.
이후 Root 노드를 출력합니다.
이후 오른쪽 노드를 출력합니다.
예제를 중위 순회 하면 D-B-E-A-F-C-G 입니다.
2. pre order / 전위 순회 ( Root - Left - Right )
Root 노드를 먼저 출력합니다.
이후 왼쪽 오른쪽 순으로 출력합니다.
예제를 전위 순회 하면 A-B-D-E-C-F-G 입니다.
3. post order / 후위 순회 ( Left - Right - Root )
왼쪽 노드부터 출력합니다.
이후 오른쪽 노드를 출력합니다.
이후 Root 노드를 출력합니다.
예제를 후위 순회 하면 D-E-B-F-G-C-A 입니다.
4-1. 트리 순회 직접 구현
1. node 클래스
class Node {
constructor() {
this.left = null;
this.value = null;
this.right = null;
}
}
2. tree 클래스
class Tree {
contructor() {
this.root = null;
}
setRoot(node) {
this.root = node;
}
getRoot() {
return this.root;
}
makeNode(left, value, right) {
const node = new Node();
node.left = left;
node.value = value;
node.right = right;
return node;
}
inorder(node) {
if (node !== null) {
this.inorder(node.left);
console.log(node.value);
this.inorder(node.right);
}
}
preorder(node) {
if (node != null) {
console.log(node.value);
this.preorder(node.left);
this.preorder(node.right);
}
}
postorder(node) {
if (node != null) {
this.preorder(node.left);
this.preorder(node.right);
console.log(node.value);
}
}
}
3. 각 순회 함수 실행 결과
in oreder

pre order

post order


'Data Structure' 카테고리의 다른 글
| 자료구조 - Hash Table (해시 테이블) (0) | 2022.03.13 |
|---|